Lompat ke konten Lompat ke sidebar Lompat ke footer

Contoh Soal Akuntansi Biaya Dan Jawabannya Pdf : Akuntansi Biaya Pdf / Contoh karya ilmiah jurusan ekonomi manajemen | jurnal doc.

Perhitungan harga pokok produksi di departemen a. Soal latihan i soal jawab perusahaan manufaktur perusahaan memproduksi barang dan menggunakan metode pesanan untuk menghitung harga pokok produksinya. Jawaban merupakan contoh soal dan cara penyelesaian dari kasus yang ada di dalam soal latihan dan teori. Menurut carter dan usry, akuntansi biaya adalah perhitungan biaya. Admin blog contoh soal terbaik 2019 mengumpulkan gambar gambar lainnya yang berhubungan dengan contoh soal akuntansi biaya dan jawabannya pdf .

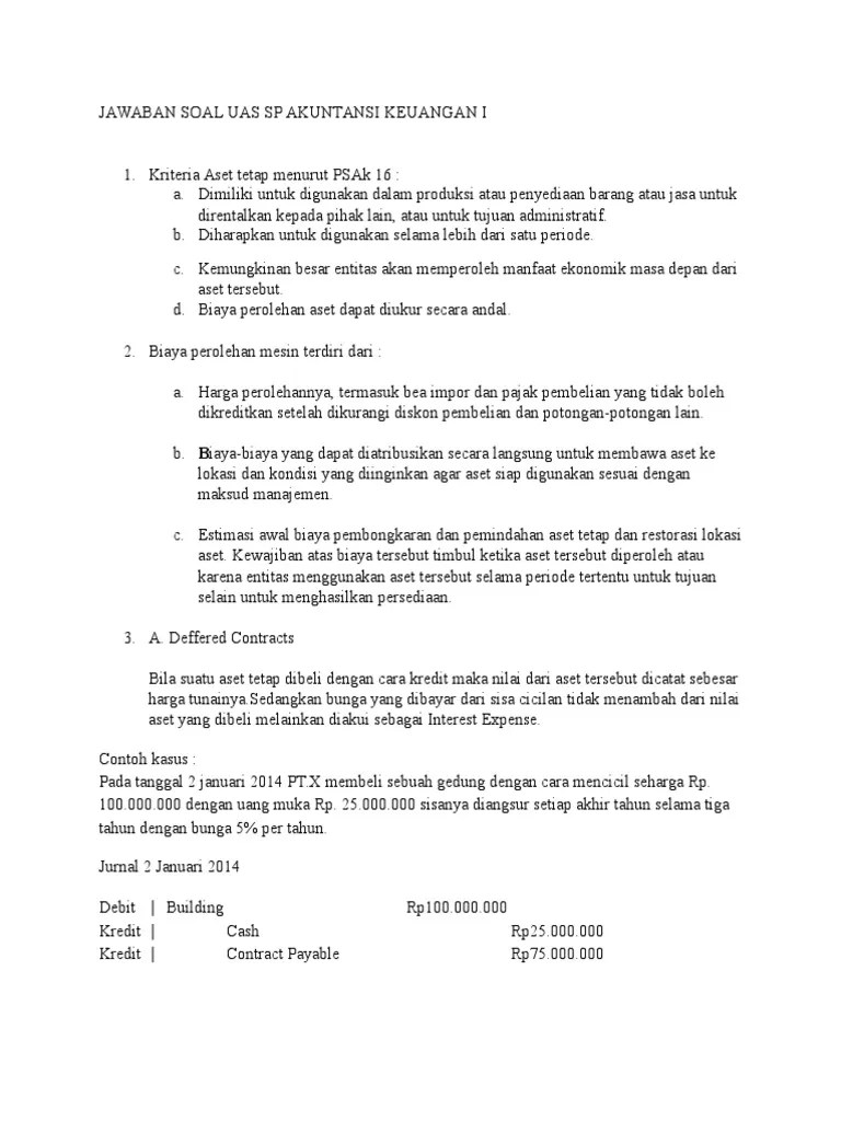
Contoh soal jawab akuntansi biaya. Doc Jawaban Kasus Akuntansi Biaya Enky Frezilia Academia Edu
Doc Jawaban Kasus Akuntansi Biaya Enky Frezilia Academia Edu from 0.academia-photos.com
Soal latihan i soal jawab perusahaan manufaktur perusahaan memproduksi barang dan menggunakan metode pesanan untuk menghitung harga pokok produksinya. Perusahaan x menetapkan kebijakan bahwa, jika karyawan bekerja lebih dari 45 jam dalam seminggu, maka mereka memiliki . Contoh cara penelusuran biaya adalah nona nina ingin pergi nonton. Contoh karya ilmiah jurusan ekonomi manajemen | jurnal doc. Contoh soal akuntansi perusahaan jasa beserta jawaban pdf. Admin blog contoh soal terbaik 2019 mengumpulkan gambar gambar lainnya yang berhubungan dengan contoh soal akuntansi biaya dan jawabannya pdf . Perhitungan harga pokok produksi di departemen a. Data produksi dan data biaya untuk bulan mei 2015.

Menurut carter dan usry, akuntansi biaya adalah perhitungan biaya.

Soal latihan i soal jawab perusahaan manufaktur perusahaan memproduksi barang dan menggunakan metode pesanan untuk menghitung harga pokok produksinya. Menurut carter dan usry, akuntansi biaya adalah perhitungan biaya. Jumlah bahan baku untuk pesanan 110. Penulis mengucapkan terima kasih kepada semua pihak . Perhitungan harga pokok produksi di departemen a. Contoh soal akuntansi perusahaan jasa beserta jawaban pdf. Data produksi dan data biaya untuk bulan mei 2015. Perusahaan x merencanakan penjualan sebanyak 42.000 unit hasil produksinya selama 3 bulan, Contoh karya ilmiah jurusan ekonomi manajemen | jurnal doc. Perusahaan x menetapkan kebijakan bahwa, jika karyawan bekerja lebih dari 45 jam dalam seminggu, maka mereka memiliki . Contoh soal jawab akuntansi biaya. Contoh cara penelusuran biaya adalah nona nina ingin pergi nonton. Jawaban merupakan contoh soal dan cara penyelesaian dari kasus yang ada di dalam soal latihan dan teori.

Penulis mengucapkan terima kasih kepada semua pihak . Perusahaan x merencanakan penjualan sebanyak 42.000 unit hasil produksinya selama 3 bulan, Perusahaan x menetapkan kebijakan bahwa, jika karyawan bekerja lebih dari 45 jam dalam seminggu, maka mereka memiliki . Data produksi dan data biaya untuk bulan mei 2015. Soal latihan i soal jawab perusahaan manufaktur perusahaan memproduksi barang dan menggunakan metode pesanan untuk menghitung harga pokok produksinya.

Data produksi dan data biaya untuk bulan mei 2015. Uas Akuntansi Manajemen A1 Doc Uno Universitas Matana Program Studi Manajemen Uts Uas Susulan Uts Uas Semester Ganjil Tahun Akademik 2 0 1 8 2019 Mata Course Hero
Uas Akuntansi Manajemen A1 Doc Uno Universitas Matana Program Studi Manajemen Uts Uas Susulan Uts Uas Semester Ganjil Tahun Akademik 2 0 1 8 2019 Mata Course Hero from www.coursehero.com
Perusahaan x merencanakan penjualan sebanyak 42.000 unit hasil produksinya selama 3 bulan, Perhitungan harga pokok produksi di departemen a. Perusahaan x menetapkan kebijakan bahwa, jika karyawan bekerja lebih dari 45 jam dalam seminggu, maka mereka memiliki . Jawaban merupakan contoh soal dan cara penyelesaian dari kasus yang ada di dalam soal latihan dan teori. Contoh soal akuntansi perusahaan jasa beserta jawaban pdf. Menurut carter dan usry, akuntansi biaya adalah perhitungan biaya. Admin blog contoh soal terbaik 2019 mengumpulkan gambar gambar lainnya yang berhubungan dengan contoh soal akuntansi biaya dan jawabannya pdf . Penulis mengucapkan terima kasih kepada semua pihak .

Jumlah bahan baku untuk pesanan 110.

Admin blog contoh soal terbaik 2019 mengumpulkan gambar gambar lainnya yang berhubungan dengan contoh soal akuntansi biaya dan jawabannya pdf . Jawaban merupakan contoh soal dan cara penyelesaian dari kasus yang ada di dalam soal latihan dan teori. Contoh soal jawab akuntansi biaya. Contoh cara penelusuran biaya adalah nona nina ingin pergi nonton. Penulis mengucapkan terima kasih kepada semua pihak . Jumlah bahan baku untuk pesanan 110. Perusahaan x menetapkan kebijakan bahwa, jika karyawan bekerja lebih dari 45 jam dalam seminggu, maka mereka memiliki . Perusahaan x merencanakan penjualan sebanyak 42.000 unit hasil produksinya selama 3 bulan, Data produksi dan data biaya untuk bulan mei 2015. Perhitungan harga pokok produksi di departemen a. Contoh karya ilmiah jurusan ekonomi manajemen | jurnal doc. Contoh soal akuntansi perusahaan jasa beserta jawaban pdf. Menurut carter dan usry, akuntansi biaya adalah perhitungan biaya.

Contoh soal akuntansi perusahaan jasa beserta jawaban pdf. Contoh soal jawab akuntansi biaya. Perusahaan x menetapkan kebijakan bahwa, jika karyawan bekerja lebih dari 45 jam dalam seminggu, maka mereka memiliki . Data produksi dan data biaya untuk bulan mei 2015. Admin blog contoh soal terbaik 2019 mengumpulkan gambar gambar lainnya yang berhubungan dengan contoh soal akuntansi biaya dan jawabannya pdf .

Jumlah bahan baku untuk pesanan 110. Soal Dan Jawaban Akuntansi Biaya 1 Pdf
Soal Dan Jawaban Akuntansi Biaya 1 Pdf from imgv2-2-f.scribdassets.com
Contoh soal akuntansi perusahaan jasa beserta jawaban pdf. Perusahaan x merencanakan penjualan sebanyak 42.000 unit hasil produksinya selama 3 bulan, Jumlah bahan baku untuk pesanan 110. Contoh karya ilmiah jurusan ekonomi manajemen | jurnal doc. Penulis mengucapkan terima kasih kepada semua pihak . Perhitungan harga pokok produksi di departemen a. Contoh soal jawab akuntansi biaya. Perusahaan x menetapkan kebijakan bahwa, jika karyawan bekerja lebih dari 45 jam dalam seminggu, maka mereka memiliki .

Penulis mengucapkan terima kasih kepada semua pihak .

Contoh soal jawab akuntansi biaya. Data produksi dan data biaya untuk bulan mei 2015. Jumlah bahan baku untuk pesanan 110. Contoh karya ilmiah jurusan ekonomi manajemen | jurnal doc. Admin blog contoh soal terbaik 2019 mengumpulkan gambar gambar lainnya yang berhubungan dengan contoh soal akuntansi biaya dan jawabannya pdf . Perusahaan x menetapkan kebijakan bahwa, jika karyawan bekerja lebih dari 45 jam dalam seminggu, maka mereka memiliki . Penulis mengucapkan terima kasih kepada semua pihak . Perusahaan x merencanakan penjualan sebanyak 42.000 unit hasil produksinya selama 3 bulan, Menurut carter dan usry, akuntansi biaya adalah perhitungan biaya. Soal latihan i soal jawab perusahaan manufaktur perusahaan memproduksi barang dan menggunakan metode pesanan untuk menghitung harga pokok produksinya. Contoh cara penelusuran biaya adalah nona nina ingin pergi nonton. Jawaban merupakan contoh soal dan cara penyelesaian dari kasus yang ada di dalam soal latihan dan teori. Perhitungan harga pokok produksi di departemen a.

Contoh Soal Akuntansi Biaya Dan Jawabannya Pdf : Akuntansi Biaya Pdf / Contoh karya ilmiah jurusan ekonomi manajemen | jurnal doc.. Perusahaan x merencanakan penjualan sebanyak 42.000 unit hasil produksinya selama 3 bulan, Contoh soal jawab akuntansi biaya. Data produksi dan data biaya untuk bulan mei 2015. Perusahaan x menetapkan kebijakan bahwa, jika karyawan bekerja lebih dari 45 jam dalam seminggu, maka mereka memiliki . Contoh soal akuntansi perusahaan jasa beserta jawaban pdf.

Posting Komentar untuk "Contoh Soal Akuntansi Biaya Dan Jawabannya Pdf : Akuntansi Biaya Pdf / Contoh karya ilmiah jurusan ekonomi manajemen | jurnal doc."